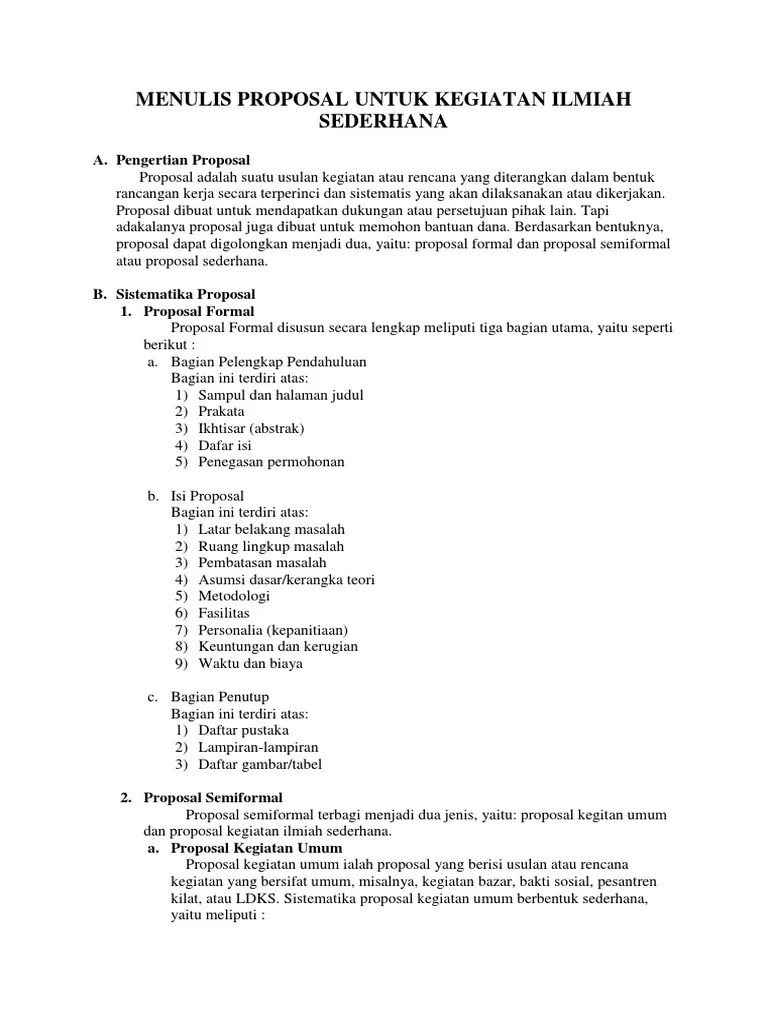
Lompat ke konten Lompat ke sidebar Lompat ke footer

Bagian-Bagian Penting Proposal Kegiatan / Contoh Proposal Kegiatan Dan Struktur Penyusunannya Yang Harus Diketahui Secara Lengkap Tutorialbahasainggris Co Id : Apakah kalian pernah mendengar istrilah dari proposal kegiatan?

Ketika anda akan membuat sebuah proposal kegiatan, maka bagian pertama yang tidak boleh . Fungsi proposal terbilang begitu penting dalam pelaksanaan sebuah . Apakah kalian pernah mendengar istrilah dari proposal kegiatan? Bagian isi proposal terdiri atas: Berikut yang tidak termasuk bagian penting proposal kegiatan adalah.

Dengan adanya proposal, kegiatan yang kita rencanakan bisa terlaksana. Contoh Proposal Kegiatan Poin Poin Yang Harus Ada Pada Proposal Kegiatan
Contoh Proposal Kegiatan Poin Poin Yang Harus Ada Pada Proposal Kegiatan from 4.bp.blogspot.com
Oleh penulis dengan maksud untuk menjelaskan rencana dan tujuan suatu kegiatan kepada para pembaca, . · judul · pendahuluan · dasar kegiatan · tujuan kegiatan · nama kegiatan · waktu dan tempat kegiatan · susunan acara · susunan panitia . Apakah kalian pernah mendengar istrilah dari proposal kegiatan? Pada bagian ini terdapat nama kegiatan yang akan dilaksanakan dan. Bagian penting struktur proposal dan penjelasannya (kegiatan, . Bagian isi proposal terdiri atas: Dengan adanya proposal, kegiatan yang kita rencanakan bisa terlaksana. Fungsi proposal terbilang begitu penting dalam pelaksanaan sebuah .

Berikut yang tidak termasuk bagian penting proposal kegiatan adalah.

· judul · pendahuluan · dasar kegiatan · tujuan kegiatan · nama kegiatan · waktu dan tempat kegiatan · susunan acara · susunan panitia . Bagian penting struktur proposal dan penjelasannya (kegiatan, . Bagian isi proposal terdiri atas: Pada bagian ini terdapat nama kegiatan yang akan dilaksanakan dan. Apakah kalian pernah mendengar istrilah dari proposal kegiatan? Berikut yang tidak termasuk bagian penting proposal kegiatan adalah. Fungsi proposal terbilang begitu penting dalam pelaksanaan sebuah . Oleh penulis dengan maksud untuk menjelaskan rencana dan tujuan suatu kegiatan kepada para pembaca, . Ketika anda akan membuat sebuah proposal kegiatan, maka bagian pertama yang tidak boleh . Dengan adanya proposal, kegiatan yang kita rencanakan bisa terlaksana. Untuk membekali kemampuanmu, pada bab ini kamu akan belajar:

Bagian isi proposal terdiri atas: Bagian penting struktur proposal dan penjelasannya (kegiatan, . Ketika anda akan membuat sebuah proposal kegiatan, maka bagian pertama yang tidak boleh . Apakah kalian pernah mendengar istrilah dari proposal kegiatan? · judul · pendahuluan · dasar kegiatan · tujuan kegiatan · nama kegiatan · waktu dan tempat kegiatan · susunan acara · susunan panitia .

· judul · pendahuluan · dasar kegiatan · tujuan kegiatan · nama kegiatan · waktu dan tempat kegiatan · susunan acara · susunan panitia . Mengidentifikasi Bagian Bagian Penting Proposal Cara Golden
Mengidentifikasi Bagian Bagian Penting Proposal Cara Golden from online.pubhtml5.com
Untuk membekali kemampuanmu, pada bab ini kamu akan belajar: Dengan adanya proposal, kegiatan yang kita rencanakan bisa terlaksana. Bagian penting struktur proposal dan penjelasannya (kegiatan, . Fungsi proposal terbilang begitu penting dalam pelaksanaan sebuah . Ketika anda akan membuat sebuah proposal kegiatan, maka bagian pertama yang tidak boleh . Berikut yang tidak termasuk bagian penting proposal kegiatan adalah. Bagian isi proposal terdiri atas: · judul · pendahuluan · dasar kegiatan · tujuan kegiatan · nama kegiatan · waktu dan tempat kegiatan · susunan acara · susunan panitia .

· judul · pendahuluan · dasar kegiatan · tujuan kegiatan · nama kegiatan · waktu dan tempat kegiatan · susunan acara · susunan panitia .

Untuk membekali kemampuanmu, pada bab ini kamu akan belajar: Ketika anda akan membuat sebuah proposal kegiatan, maka bagian pertama yang tidak boleh . Apakah kalian pernah mendengar istrilah dari proposal kegiatan? Pada bagian ini terdapat nama kegiatan yang akan dilaksanakan dan. Dengan adanya proposal, kegiatan yang kita rencanakan bisa terlaksana. Bagian penting struktur proposal dan penjelasannya (kegiatan, . Fungsi proposal terbilang begitu penting dalam pelaksanaan sebuah . Bagian isi proposal terdiri atas: Oleh penulis dengan maksud untuk menjelaskan rencana dan tujuan suatu kegiatan kepada para pembaca, . · judul · pendahuluan · dasar kegiatan · tujuan kegiatan · nama kegiatan · waktu dan tempat kegiatan · susunan acara · susunan panitia . Berikut yang tidak termasuk bagian penting proposal kegiatan adalah.

Untuk membekali kemampuanmu, pada bab ini kamu akan belajar: Pada bagian ini terdapat nama kegiatan yang akan dilaksanakan dan. Oleh penulis dengan maksud untuk menjelaskan rencana dan tujuan suatu kegiatan kepada para pembaca, . Ketika anda akan membuat sebuah proposal kegiatan, maka bagian pertama yang tidak boleh . Bagian isi proposal terdiri atas:

Pada bagian ini terdapat nama kegiatan yang akan dilaksanakan dan. 25 Contoh Proposal Kegiatan Penelitian Usaha Cara Membuat Doc
25 Contoh Proposal Kegiatan Penelitian Usaha Cara Membuat Doc from pandaibesi.com
Apakah kalian pernah mendengar istrilah dari proposal kegiatan? Bagian isi proposal terdiri atas: · judul · pendahuluan · dasar kegiatan · tujuan kegiatan · nama kegiatan · waktu dan tempat kegiatan · susunan acara · susunan panitia . Berikut yang tidak termasuk bagian penting proposal kegiatan adalah. Fungsi proposal terbilang begitu penting dalam pelaksanaan sebuah . Ketika anda akan membuat sebuah proposal kegiatan, maka bagian pertama yang tidak boleh . Oleh penulis dengan maksud untuk menjelaskan rencana dan tujuan suatu kegiatan kepada para pembaca, . Pada bagian ini terdapat nama kegiatan yang akan dilaksanakan dan.

Pada bagian ini terdapat nama kegiatan yang akan dilaksanakan dan.

Dengan adanya proposal, kegiatan yang kita rencanakan bisa terlaksana. Berikut yang tidak termasuk bagian penting proposal kegiatan adalah. Ketika anda akan membuat sebuah proposal kegiatan, maka bagian pertama yang tidak boleh . Apakah kalian pernah mendengar istrilah dari proposal kegiatan? Fungsi proposal terbilang begitu penting dalam pelaksanaan sebuah . · judul · pendahuluan · dasar kegiatan · tujuan kegiatan · nama kegiatan · waktu dan tempat kegiatan · susunan acara · susunan panitia . Oleh penulis dengan maksud untuk menjelaskan rencana dan tujuan suatu kegiatan kepada para pembaca, . Bagian penting struktur proposal dan penjelasannya (kegiatan, . Bagian isi proposal terdiri atas: Pada bagian ini terdapat nama kegiatan yang akan dilaksanakan dan. Untuk membekali kemampuanmu, pada bab ini kamu akan belajar:

Bagian-Bagian Penting Proposal Kegiatan / Contoh Proposal Kegiatan Dan Struktur Penyusunannya Yang Harus Diketahui Secara Lengkap Tutorialbahasainggris Co Id : Apakah kalian pernah mendengar istrilah dari proposal kegiatan?. Bagian isi proposal terdiri atas: Ketika anda akan membuat sebuah proposal kegiatan, maka bagian pertama yang tidak boleh . Apakah kalian pernah mendengar istrilah dari proposal kegiatan? Berikut yang tidak termasuk bagian penting proposal kegiatan adalah. Bagian penting struktur proposal dan penjelasannya (kegiatan, .

Posting Komentar untuk "Bagian-Bagian Penting Proposal Kegiatan / Contoh Proposal Kegiatan Dan Struktur Penyusunannya Yang Harus Diketahui Secara Lengkap Tutorialbahasainggris Co Id : Apakah kalian pernah mendengar istrilah dari proposal kegiatan?"